12 августа безналичный доллар подешевел на 5 копеек, и межбанк закрылся в рамках 26,73-26,74 грн/$. На наличном рынке валютный курс падал сильнее - на 8-10 копеек на продаже и на 5 копеек на покупке:
- до 26,82-26,95 грн/$ - на продаже;
- до 26,55-26,75 грн/$ - на покупке.
В кассах отмечали сокращение активности, люди стали слабее покупать валюту. Оптовые наличные курсы просели с 26,87-26,92 грн/$ до 26,83-26,85 грн/$.
Торговля межбанка постепенно выровнялась после вчерашней эйфории. Объем сделок на межбанке сократился с $243 млн до $146 млн. Нацбанк выходил на торги, и выкупил по 26,76 порядка $5 млн.
"На рынке доминировали валютные продавцы, спрос был небольшой, потому регулятору приходилось откупать излишек и сглаживать курсовые колебания. Продавали доллар и металлурги, и агросектор, и даже иностранцы. Гривна нужна бизнесу для уплаты налогов. Импортеры были не очень активны", - рассказал "Стране" финансовый аналитик Василий Невмержицкий.
"Поначалу котировки держались вверху, но быстро отступили.егодня межбанковский валютный рынок открылся на 27,77-26,80 грн/$. После утренней коррекции к 26,78-26,80 грн/$ возник избыток валюты, из-за чего курс начал снижаться сначала к 27,78-26,79 грн/$, а затем и к 26,76-26,7850 грн/$. Ближе к середине дня, на уровнях 26,75-26,76 грн/$ была замечена активность Национального банка, который выкупал доллар, из-за чего на какое время курс поднялся на 26,7650-26,78 грн/$. Тем не менее гривна продолжала укрепляться, а курс во второй половине дня дошел до уровня 26,74-26,76 грн/$. Закрытие рынка произошло на уровнях 26,72-26,74 грн/$", - сообщили "Стране" аналитики ОТП Банка.
Экспортеры рассчитывали на активные покупки доллара иностранцами, получившими от Минфина погашение по старым выпускам ОВГЗ на 10,6 млрд грн, однако те сегодня взяли паузу и не устраивали активной валютной закупки.
"Ситибанк с коллегами грамотно распределили усилия по дистанции, чтобы не устраивать скупку в один день. Начали брать доллар средними партиями еще с понедельника, и накопили клиентам, которые выходят из гривневых гособлигаций, определенный запас. Могут делать паузы в валютных покупках", - отметил "Стране" директор казначейства крупного банка.
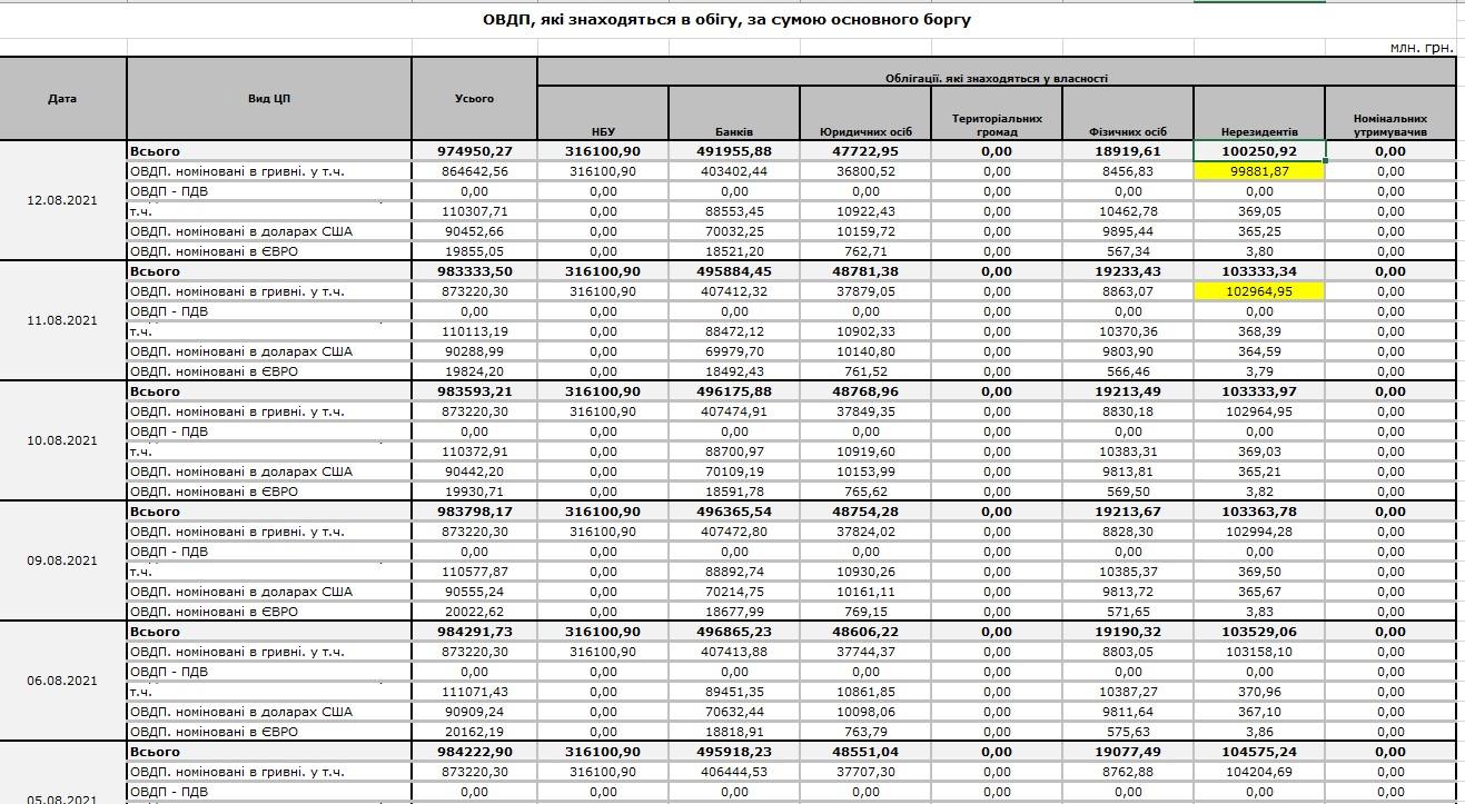
Согласно сегодняшнему отчету Нацбанка, после погашения Минфина гривневый портфель ОВГЗ нерезидентов сократился на 3,1 млрд грн, а с начала августа - на 5,4 млрд грн. На 12 августа портфель иностранцев гривневых гособлигаций составил 99,9 млрд грн, а общий (гривна + валюта) - 100,3 млрд грн.
.jpg)
Казначеи допускают дальнейшие покупки иностранцами доллара под вывод капиталов из ОВГЗ, однако не ждут, что эти покупки будут большими.
На финансовом рынке сегодня продолжали переваривать вчерашнюю новость о признании неплатежеспособным банка "Земельный капитал", который принадлежит бывшему министру угольной промышленности Виктору Тополову. Сегодня Фонд гарантирования вкладов физлиц завел туда свою временную администрацию. Но еще живее обсуждался свежий ресурсный отчет Нацбанка.
Из него видно, что население постепенно снимает средства с банковских счетов.
По данным НБУ, в июле гривневые депозиты физлиц в 73 украинских банках сократились на 0,4% (на 1,6 млрд грн), и достигли 426,8 млрд грн. Долларовые вклады уменьшились лишь в пересчете на гривну, за счет укрепления нацвалюты, а в долларе немного подросли (на 0,2%, до $9,7 млрд грн).
.jpg)
Сокращение вкладов не очень большое, но симптоматичное, его объяснили увеличением покупок населения.
"Главным образом это связано с восстановлением потребительского спроса. Особенно в части трат на отдых. В прошлом году многие украинцы не смогли отправиться в отпуск из-за карантинных ограничений, сформировался отложенный спрос, и в 2021-ом он выплеснулся на рынок. Это касается не только путешествий, но и других крупных трат. Положительная динамика, например, отмечается в продажах автомобилей, которые очень чувствительны к кризисным явлениям и потребительским настроениям", - рассказал "Стране" заместитель председателя правления Юнекс Банка Алексей Карчажкин.
Делать покупки сейчас выгоднее, чем хранить средства на счетах. Хотя банки с начала лета постепенно повышают ставки по гривневым вкладам:
- на 3 месяца - с 6,90% до 7% годовых;
- на 6 месяцев - с 7,56% до 7,82%;
- на 12 месяцев - с 8,14% до 8,41%.
"Но даже с учетом положительной динамики ставки по вкладам ниже уровня инфляции. Это стимулирует население направлять деньги в потребление", - признал Карчажкин.
В июле Госстат зафиксировал годовой уровень инфляции на уровне 10,2%, а Нацбанк спрогнозировал удержание индекса выше 10% как минимум до конца третьего квартала.
Обычно в августе у населения доминируют девальвационные настроения, многие ждут привычного для осени удорожания доллара. Потому в сентябре ждут увеличения прироста долларовых вкладов населения. То есть наличный спрос на американскую валюту может подрастать.
При этом бизнес будет в первую очередь нуждаться в гривне, поскольку будет до 19 августа платить налоги. По предварительному прогнозу, к 20-му числу налоговики планируют собрать 27 млрд грн.
Потому большинство опрошенных "Страной" казначеев ожидает завтра нового снижения курса доллара. Старт межбанка прогнозируют в рамках 26,71-26,74 грн/$, и допускают движение в область 26,70 грн/$ или даже ниже.
Евро предсказали рост курса
На мировом рынке подорожал доллар, а евро терял позиции. Курс евровалюты отошел с $1,1747/€ до $1,1734/€ после торгов в рамках $1,1724-1,1748/€.
Рынки положительно восприняли сообщение о сокращении количества первичных заявок на пособие по безработице в США на 12 тыс. (до 375 тыс.). Отчет совпал с прогнозом аналитиков, и этого было достаточно для продажи трейдерами евро и скупки доллара.
При этом по рынку ширились долгосрочные прогнозы о подорожании евровалюты.
Валютный аналитик Commerzbank Ульрих Лейхтманн предсказал изданию Wall Street Journal подорожание евро до $1,2/€ к декабрю 2021 года, и до $1,26/€ - к декабрю 2022-го. Он мотивировал свой прогноз ожиданиями по сокращению инфляции в США (с рекордных 5,4%, которые зафиксированы сейчас) и сохранением мягкой денежной политики американского Федрезерва.
В Украине средние наличные курсы евро сегодня просели на 5 копеек:
- 31,50-31,75 грн/€ - на продаже;
- 31,15-31,40 грн/€ - на покупке.




